您好,欢迎进入仪研智造(上海)药检仪器有限公司网站!
全国客服电话:4006-567-179 13761436048
首页
关于我们
产品中心
新闻中心
技术文章
在线留言
联系我们
当前位置:
首页
>
技术文章
>
2025版中国药典0681制药用水电导率测定法内容介绍
2025版中国药典0681制药用水电导率测定法内容介绍
更新时间:2025-12-17 | 点击率:11
0681 制药用水电导率测定法
本法是用于检查制药用水的电导率进而控制水中电解质总量的一种测定方法。
电导率是表征物体导电能力的物理量,其值为物体电阻率的倒数,单位是S/cm(Siemens)或μS/cm。
水的电导率是水中离子(电解质)导电能力的一种量度。水的电导率与水的pH值和温度有关。在不同的pH值和温度下,水分子会发生不同程度的电离而产生氢离子与氢氧根离子,所以纯水的导电能力尽管很弱,但也具有可测定的电导率。当空气中的二氧化碳等气体溶于水并与水相互作用后,便可形成相应的离子,从而使水的电导率增高。通常,这些离子及其产生的电导率被认为是水固有的。水的电导率会受到其他外来离子的影响,当水中含有这些外来离子时,会使水的电导率增高。因此,水的电导率与水的纯度密切相关,水的纯度越高,电导率越小,反之亦然。
仪器和操作参数
测定水的电导率必须使用精密的并经校正的电导率仪,电导率仪的电导池包括两个平行电极,这两个电极通常有保护设计,也可以使用其他形式的电导池。根据仪器设计功能和使用程度,应对电导率仪定期进行校正,电导池常数可使用电导标准溶液直接校正,或间接进行仪器比对,电导池常数必须在仪器规定数值的±2%范围内。进行仪器校正时,电导率仪的每个量程都需要进行单独校正。仪器最小分辨率应达到0.1μS/cm,仪器精度应达到±0.1μS/cm。
温度对样品的电导率测定值有较大影响,电导率仪可根据测定样品的温度自动补偿测定值并显示补偿后读数。水的电导率采用温度修正的计算方法所得数值误差较大,因此本法采用非温度补偿模式,温度测量的精确度应在±2℃以内。
测定法
1.纯化水
可使用在线或离线电导率仪,记录测定温度。在表1中,测定温度对应的电导率值即为限度值。如测定温度未在表1中列出,则应采用线性内插法计算得到限度值。如测定的电导率值不大于限度值,则判为符合规定;如测定的电导率值大于限度值,则判为不符合规定。
表1 不同温度下水的电导率限度值(纯化水)
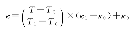
内插法的计算公式为:
式中
κ
为测定温度下的电导率限度值;
κ
1
为表1中高于测定温度的zui接近温度对应的电导率限度值;
κ
为表1中低于测定温度的
zui接近温度对应的电导率限度值;
T
为测定温度;
T
1
为表1中高于测定温度的
zui接近温度;
T
为表1中低于测定温度的
zui接近温度。
2.注射用水
(1)可使用在线或离线电导率仪。在表2中,不大于测定温度的
zui接近温度值,对应的电导率值即为限度值。如测定的电导率值不大于限度值,则判为符合规定;如测定的电导率值大于限度值,则继续按(2)进行下一步测定。
表2 不同温度下水的电导率限度值(注射用水)
(2)取足够量的水样(不少于100ml),置适当容器中,搅拌,调节温度至25℃±1℃,剧烈搅拌,每隔5分钟测定电导率,当电导率值的变化小于0.1μS/cm时,记录电导率值。如测定的电导率不大于2.1μS/cm,则判为符合规定;如测定的电导率大于2.1μS/cm,继续按(3)进行下一步测定。
(3)应在上一步测定后5分钟内进行,调节温度至25℃±1℃,在同一水样中加入饱和氯化jia溶液(每100ml水样中加入0.3ml),测定pH值,精确至0.1pH单位(通则0631),在表3中找到对应的电导率限度,并与(2)中测得的电导率值比较。如(2)中测得的电导率值不大于该限度值,则判为符合规定;如(2)中测得的电导率值超出该限度值或pH值不在5.0~7.0范围内,则判为不符合规定。
表3 不同pH值水的电导率限度值
3.灭菌注射用水
调节温度至25℃±1℃,使用离线电导率仪进行测定。标示装量为10ml或10ml以下时,电导率限度为25μS/cm;标示装量为10ml以上时,电导率限度为5μS/cm。测定的电导率值不大于限度值,则判为符合规定;如测定的电导率值大于限度值,则判为不符合规定。
上一篇:
2025版中国药典0701电位滴定法与永停滴定法内容介绍
下一篇:
2025版中国药典0621旋光度测定法内容介绍
首页
产品中心
关于我们
新闻中心
技术文章
联系我们
售后服务电话:
13761574339
电子邮箱:
jcy@tj-sci.com
公司地址:上海市闵行区元江路5500号1幢
业务咨询微信
Copyright © 2025 仪研智造(上海)药检仪器有限公司版权所有
备案号:沪ICP备2024092209号-1
sitemap.xml
技术支持:
化工仪器网
管理登陆
13761436048
TEL:13761436048